ヒフデュラの作用機序

ヒフデュラの作用機序(動画)

【再生時間】2分13秒

胎児性Fc受容体(FcRn)は、IgG自己抗体を含むIgGとアルブミンの血中濃度を維持している1)

  • FcRnには、IgG/IgG自己抗体とアルブミンが結合する1-3)。FcRnと結合したIgG/IgG自己抗体及びアルブミンは、リソソームでの分解を免れる1-3)
     →IgG/IgG自己抗体とアルブミンの血中濃度は維持される1)
     →IgG自己抗体は3つのメカニズムによってNMJを障害するため、MG症状が生じる1)
  • IgG/IgG自己抗体とアルブミンの結合部位は異なるため、IgG/IgG自己抗体とアルブミンのFcRnへの結合は拮抗しない2,3)

※:ACh-AChRの結合阻害、AChRの分解促進、補体活性化

1)Ulrichts P, et al.: J Clin Invest. 2018; 128(10): 4372-4386.本試験はargenx社の支援のもと行われた。著者に同社より研究助成金等を受領している者、同社の社員が含まれる。
2)Ward ES, et al.: Front Immunol. 2022; 13: 892534. 著者にargenx社の社員、同社より研究助成金等を受領している者が含まれる。https://creativecommons.org/licenses/by/4.0/
3)Anderson CL, et al.: Trends Immunol. 2006; 27(7): 343-348.

ヒフデュラは、エフガルチギモドにボルヒアルロニダーゼを配合した皮下投与用注射製剤

エフガルチギモドは、胎児性Fc受容体(FcRn)を標的とするアミノ酸残基を改変したヒトIgG1抗体のFcフラグメントです1)

1)Howard JF Jr, et al.: Lancet Neurol. 2021; 20(7): 526-536.

ボルヒアルロニダーゼは、エフガルチギモドの体内への拡散、吸収を促進

ボルヒアルロニダーゼは主に皮下組織の成分であるヒアルロン酸を加水分解し、一過性かつ局所的に皮下組織の浸透性を増加させ1,2)、エフガルチギモドの体内への拡散、吸収を促進させます1,3)


1) ヒフデュラ®配合皮下注 電子添文
2) Frost GI, et al.: Expert Opin Drug Deliv. 2007; 4(4): 427-440.
3) Locke KW, et al.: Drug Deliv. 2019; 26(1): 98-106.

エフガルチギモド:血中アルブミン濃度を減少させず、FcRnのIgGリサイクリングを標的とするFcフラグメント製剤1-3)

1)ウィフガート®点滴静注400mg 電子添文
2)Wolfe GI, et al.: J Neurol Sci. 2021; 430: 118074.
[COI]著者にargenx社の社員、同社より研究助成金等を受領している者が含まれる。
3)Howard JF Jr, et al.: Front Neurol. 2024: 14: 1284444.
[COI]本試験はargenx社の支援のもと行われた。著者に同社より研究助成金等を受領している者、同社の社員が含まれる。
4)Howard JF Jr, et al.: Lancet Neurol. 2021; 20(7): 526-536.
[COI]本試験はargenx社の支援のもと行われた。著者に同社より研究助成金等を受領している者、同社の社員が含まれる。
5)Roopenian DC, Akilesh S.: Nat Rev Immunol. 2007; 7(9): 715-725.
6)Ulrichts P, et al.: J Clin Invest. 2018; 128(10): 4372-4386.
[COI]本試験はargenx社の支援のもと行われた。著者に同社より研究助成金等を受領している者、同社の社員が含まれる。
7)Ward ES, Ober RJ.: Trends Pharmacol Sci. 2018; 39(10): 892-904.
[COI]著者にargenx社より研究助成金等を受領している者が含まれる。
8)Howard JF Jr, et al.: Neurology. 2019; 92(23): e2661-e2673.
[COI]本試験はargenx社の支援のもと行われた。著者にargenx社の社員、同社より研究助成金等を受領している者が含まれる。
9)Ma G, et al.: JCI Insight. 2024; 9(10): e176166.
[COI]著者にargenx社の社員、同社より研究助成金等を受領している者が含まれる。

エフガルチギモドは生理的な内因性IgGと同様に、Fc領域にFcRnとの結合部位を有し、ヒトIgG1に近い細胞内挙動を示した(in vitro

FcRnは、MHCクラスI分子に類似した構造を持ち、α鎖とβ鎖(β2m)の2つのポリペプチド鎖からなるヘテロ二量体を形成する受容体です。

生理的な内因性IgGは、Fc領域でFcRnと、中性下では結合せず、酸性下で結合します。

生体内IgG

生体内IgG

フラグメント製剤であるエフガルチギモドは、Fc領域でFcRnと、中性下(結合親和性:8.59±1.35)と酸性下(結合親和性:0.35±0.06)の両方で結合します

※社内資料:カニクイザル内因性IgGに対する薬理作用(承認時評価資料)(CTD2.6.2.2.3.2.3)

IgG1‐Fcフラグメント

その他に、構造によって以下のような結合様式があることが報告されています。

その他

※ β2m; β2ミクログロブリン

1)Sockolosky & Szoka, Adv Drug Deliv Rev. 2015 Aug 30;91:109-24.より改変

In vitroにおいて、エフガルチギモドはヒトIgG1に近い細胞内輸送挙動を示しました。

エフガルチギモド、ヒトIgG1及び完全長抗FcRn抗体の細胞内挙動(in vitro2)

試験方法:hFcRn-GFP(緑色蛍光タンパク質)を発現する内皮細胞(HMEC-1)に、蛍光標識したエフガルチギモド、ヒトIgG1(アイソタイプコントロール)、完全長抗FcRn抗体(完全ヒトモノクローナル抗体)をそれぞれ25、200、及び75μg/mLでパルスし、0、30及び120分間観察した。

2)Ulrichts P, et al.: J Clin Invest. 2018; 128(10): 4372-4386
[COI] 本試験はargenx社の支援のもと行われた。著者にargenx社よりコンサルタント料等を受領している者が含まれる。
また、著者にargenx社の社員が含まれる。

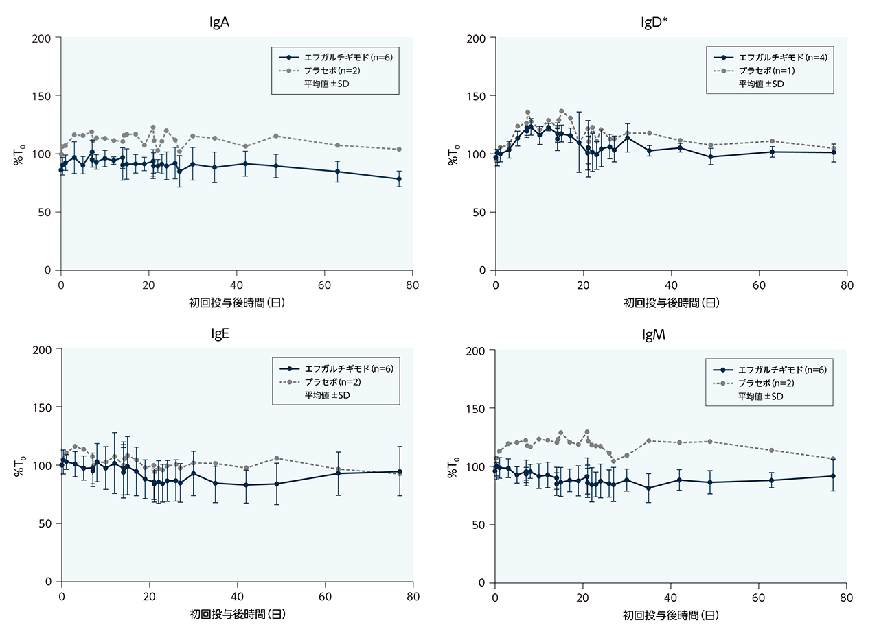
エフガルチギモドの投与により、IgG以外の免疫グロブリン濃度への影響はなく、アルブミン濃度の減少は認められていない

健康成人に、エフガルチギモドを1週間間隔で4回2時間かけて静脈内投与したときのIgA、IgD、IgE、IgM、アルブミンの血清濃度(%T0)のベースラインに対する変化率は下図の通りでした。

IgA、IgD、IgE、IgM、及びアルブミンの血中濃度に及ぼす影響(健康成人)

試験方法:健康成人(n=8)に、25mg/kgのエフガルチギモドまたはプラセボ(6:2でランダム化)を1週間間隔で4回2時間かけて静脈内投与した。IgA、IgD、IgE、IgM、アルブミンの血清濃度(%T0)のベースラインに対する変化率を示す。

※本邦で承認されたヒフデュラの用法用量及び用量: 
〈全身型重症筋無力症〉
【ヒフデュラ®配合皮下注】通常、成人には本剤1回5.6mL(エフガルチギモド アルファ(遺伝子組換え)として1,008mg及びボルヒアルロニダーゼ アルファ(遺伝子組換え)として11,200単位)を1週間間隔で4回皮下投与する。これを1サイクルとして、投与を繰り返す。
【ヒフデュラ®配合皮下注シリンジ】通常、成人には本剤1回5.0mL(エフガルチギモド アルファ(遺伝子組換え)として1,000mg及びボルヒアルロニダーゼ アルファ(遺伝子組換え)として10,000単位)を1週間間隔で4回皮下投与する。これを1サイクルとして、投与を繰り返す。

2)Ulrichts P, et al.: J Clin Invest. 2018; 128(10): 4372-4386
[COI] 本試験はargenx社の支援のもと行われた。著者にargenx社よりコンサルタント料等を受領している者が含まれる。
また、著者にargenx社の社員が含まれる。

MGの病態とヒフデュラの作用機序・投与方法など

さらに詳しいヒフデュラの作用機序については動画をご覧ください。

【再生時間】6分2秒

JP-VDJCIDP-25-00752(2025年12月作成)